Статьи » Фитнес
Для кого-то фитнес – жизненная необходимость, для кого-то - дань моде, а для кого-то - профессия. У каждой из перечисленных категорий свои представления о «правильном» фитнесе, и, казалось бы, лучше самих тренеров никто не должен знать больше и глубже о том, как надо «правильно» заниматься в фитнес-клубе. Так ли это?
Мы продолжаем цикл статей, являющихся своего рода ликбезом для тех, кто занимается фитнесом, так как они дают возможность узнать о фитнесе больше и увидеть его, так сказать, «изнутри», что в свою очередь поможет вовремя распознать «халтуру» и сохранить здоровье…
В предыдущих статьях были рассмотрены необходимые процедуры, которые должны быть выполнены для того, чтобы разработать индивидуальную фитнес–программу, а также соматоскопия и антропометрия. В настоящей статье мы продолжим тему функциональной диагностики (ФД).
Следующим этапом ФД является оценка функциональности опорно-двигательного аппарата.
С точки зрения кинезиологии (науки о движении), опорно-двигательный аппарат (ОДА) выполняет три важнейшие функции:
- опорную;
- рессорную;
- локомоторную.
Кроме того, ОДА принимает непосредственное участие в обменных процессах организма, поэтому его состояние обуславливает работу других органов и всего организма в целом.
Реализация перечисленных функций в полном объеме существенно зависит от морфофункциональных свойств ОДА (подвижности, стабильности, прыгучести и т.д.), которые, в свою очередь, обусловлены силовыми и аэробными способностями, гибкостью, ловкостью и быстротой.
Поэтому для того, чтобы определить уровень функциональности опорно-двигательного аппарата и выявить наиболее «слабые» стороны, специалисту необходимо оценить подвижность и стабильность позвоночника и суставов, силовые способности мышц, функциональное состояние кардио-респираторной системы, работоспособность при нагрузках разной направленности.
Для оценки подвижности в позвоночнике и суставах применяются различные тесты и пробы, позволяющие определить соответствие имеющейся амплитуды диапазону движений здорового человека.
Одним из самых распространенных является тест, в котором испытуемый наклоняется вперед и измеряется расстояние от 3-го пальца до уровня стоп, которое может быть как положительным, так и отрицательным. Однако этот тест не показывает, где именно наблюдается ограничение в случае неудовлетворительных результатов.
Поэтому для оценки подвижности позвоночника профессионалы дополнительно используют тесты, которые позволяют детализировать измерения, например, для оценки подвижности в поясничном отделе специалисты отмеряют вверх от пятого поясничного позвонка 10 см и делают отметку, затем просят испытуемого наклониться максимально вперед и снова замеряют данное расстояние. В норме оно должно увеличиться на 4-5 см.
Другим морфофункциональным свойством опорно-двигательного аппарата является стабильность позвоночника и суставов, которая представляет собой способность сохранять сегменты опорно-двигательного аппарата в их физиологическом положении в условиях внутренних и внешних воздействий.
Чтобы оценить, например, наличие или отсутствие навыка стабилизации поясничного отдела позвоночника, специалистами используются как экспресс-тесты, так и инструментальные методы.
Методы экспресс-оценки стабилизации позвоночника играют важную диагностическую роль, так как позволяют оценить снижение стабилизации в процессе двигательной деятельности человека (повседневной и спортивно-оздоровительной).
Для оценки состояния мышц-стабилизаторов позвоночника и таза достаточно посадить испытуемого на мяч в положение, при котором прямые руки согнуты в плечевых суставах под углом 90 градусов и расположены на уровне груди ладонями друг к другу на ширине плеч. Ноги согнуты в тазобедренных и коленных суставах под углом 90 градусов, стопы расположены на полу на расстоянии 5-10 см друг от друга. И попросить тестируемого закрыть глаза и поднять стопу одной ноги на высоту 5-10 см. Цель - постараться удержать равновесие на мяче с закрытыми глазами. Затем сменить опорную ногу и повторить тест.
Если тестируемый способен удерживать равновесие в течение 30 секунд и более в период подъема одной ноги, это свидетельствует о наличии стабилизации позвоночника и таза и отсутствии функциональной мышечной асимметрии.
Способность тестируемого удерживать равновесие в течение 5-30 секунд в период подъема свидетельствует о наличии удовлетворительной стабилизации позвоночника и таза и отсутствии функциональной мышечной асимметрии.
Отсутствие способности тестируемого удерживать равновесие более 5 секунд в период подъема правой или левой ноги свидетельствует об отсутствии стабилизации позвоночника и таза.
Наличие разницы в продолжительности удерживания равновесия в период подъема одной ноги между правой и левой опорной ногой свидетельствует о наличии функционального дисбаланса между мышцами правой и левой половины тела.
Для оценки силовых способностей человека используются тесты, при которых мышца проявляет ту или иную силовую способность до заданной величины при максимально возможном изолировании от других мышц, что обеспечивается определенным исходным положением, траекторией и скоростью движения. Для каждого вида силовых способностей используются свои методики и пробы.
Для оценки максимальной произвольной силы традиционно используется прямое определение, в процессе которого испытуемый преодолевает противодействие, по величине равное 100% от максимально возможного (т.е. такое, при котором возможно выполнить движение только 1 раз). Однако выполнение этой пробы требует определенных условий, не всегда обеспечиваемых в фитнесе: высокой степени готовности к силовым нагрузкам; отсутствия противопоказаний по состоянию здоровья; движение должно носить региональный или глобальный характер; проба выполняется не чаще 1 раза в месяц. Поэтому если тренер предлагает оценить ваши силовые возможности таким образом, а перечисленные условия отсутствуют, бегите от него как можно дальше. В противном случае шансы получить постоянное членство в больнице резко возрастают.
При невозможности выполнения данных условий используются непрямые или короткоамплитудные способы.
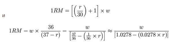
В первом варианте используется методика, основанная на определении так называемого одного повторного максимума (1ПМ) с помощью математических расчетов, например:

где 1RM – одноповторный максимум (1ПМ), r – максимальное количество повторений, а w – величина сопротивления, например, вес отягощения.
Между тем стоит заметить, что обе формулы дают схожие результаты только при определенном количестве повторений, а при других объемах выполнения упражнений уже существуют расхождения, что ставит под сомнение достоверность данных методов.
Тем не менее, такой подход может успешно использоваться для оценки динамики эффективности занятий. Так, например, в методике, предложенной Fleck S. J. и Kraemer W. J. (1998), используется величина противодействия в диапазоне 70-80% от 1ПМ. Испытуемый выполняет максимальное количество повторений (8-12 раз) до выбранного состояния – легкого утомления, явного утомления, появления жжения, отказа. Показатели величины сопротивления и количества выполненных движений фиксируются и сравниваются с показателями через 4-8 недель. Динамику оценивают по приросту величины противодействия при постоянном количестве повторений. Т.е. если определено, что при выполнении упражнения на тренажере «Сгибание в локтевом суставе» при величине противодействия в 25 кг испытуемый выполнил 9 раз, а спустя 8 недель выполнил то же количество повторений, но уже с величиной противодействия 35 кг, то улучшение силовых способностей мышц-сгибателей предплечья составило 40% (10/25=0,4).
Короткоамплитудные методики представляют собой тесты, в которых испытуемый пытается преодолеть противодействие, выполняя движение с минимальной амплитудой. Классический пример – оценка силы мышц-сгибателей пальцев руки с помощью динамометра. Однако для оценки силовых способностей мышц, производящих движения в других суставах, используются другие методики, которые позволяют получить информацию, более применимую в практике.
Безусловно, наряду со всеми вышеперечисленными способами оценки максимальной произвольной силы существуют более точные, но и более дорогостоящие методики на основе использования компьютерных технологий.
Для оценки динамики силовой выносливости можно использовать методику, также предложенную Fleck S. J. и Kraemer W. J., для чего оценивают увеличение количества повторений с одной и той же величиной сопротивления. Так, если определено, что при выполнении упражнения на тренажере «Сгибание в локтевом суставе» при величине противодействия в 20 кг испытуемый выполнил 9 раз, а спустя 8 недель - 12 раз, то улучшение силовых способностей мышц-сгибателей предплечья составило 33% (3/9=0,33).
Для оценки статической силовой выносливости используют тесты, в которых испытуемый находится в заданном положении максимальное количество времени. Так, для оценки силовой выносливости мышц-сгибателей позвоночника можно использовать модифицированный канадский тест, в котором испытуемый лежит на спине, расположив ладони на полу. По команде он поднимает верхнюю часть тела, не отрывая поясницу. Фиксируется время удержания положения до появления тремора, появления жжения, смещения ладони с контрольной линии.
Важным показателем состояния мышечной системы также является тонус мышц, который представляет собой умеренное мышечное напряжение в состоянии покоя и отражает состояние всего нервно-мышечного аппарата.
Оценка мышечного тонуса играет важную роль в ситуациях, когда в силу определенных причин невозможно использование перечисленных методик для оценки состояния нервно-мышечного аппарата. Она особенно актуальна в диагностике функциональной мышечной асимметрии, возникающей вследствие наличия каких-либо нарушений или патологий.
Как и в предыдущих видах диагностики, в оценке тонуса существуют более простые и доступные методы, такие как пальпаторный, или с помощью механического миотонусометра, которые, однако, требуют высокой квалификации специалиста, проводящего измерение.
В качестве альтернативы существуют более точные и информативные методы - такие, как компьютерные версии миотонусометров.
Автор: Эрденко Д.В., к.п.н., преподаватель Российского государственного университета физической культуры, спорт и туризма (г. Москва), руководитель научно-информационного портала о реабилитации, фитнесе и спорте «KINESIS FOR LIFE».
Методическое пособие «Анализ и обработка персональной информации при разработке индивидуальных тренировочных планов двигательной активности в фитнесе». >>>
Индивидуальная фитнес-программа, или Как отличить профессионализм от халтуры III (продолжение)
Мы продолжаем цикл статей, являющихся своего рода ликбезом для тех, кто занимается фитнесом, так как они дают возможность узнать о фитнесе больше и увидеть его, так сказать, «изнутри», что в свою очередь поможет вовремя распознать «халтуру» и сохранить здоровье…
В предыдущих статьях были рассмотрены необходимые процедуры, которые должны быть выполнены для того, чтобы разработать индивидуальную фитнес–программу, а также соматоскопия и антропометрия. В настоящей статье мы продолжим тему функциональной диагностики (ФД).
Следующим этапом ФД является оценка функциональности опорно-двигательного аппарата.
С точки зрения кинезиологии (науки о движении), опорно-двигательный аппарат (ОДА) выполняет три важнейшие функции:
- опорную;
- рессорную;
- локомоторную.
Кроме того, ОДА принимает непосредственное участие в обменных процессах организма, поэтому его состояние обуславливает работу других органов и всего организма в целом.
Реализация перечисленных функций в полном объеме существенно зависит от морфофункциональных свойств ОДА (подвижности, стабильности, прыгучести и т.д.), которые, в свою очередь, обусловлены силовыми и аэробными способностями, гибкостью, ловкостью и быстротой.
Поэтому для того, чтобы определить уровень функциональности опорно-двигательного аппарата и выявить наиболее «слабые» стороны, специалисту необходимо оценить подвижность и стабильность позвоночника и суставов, силовые способности мышц, функциональное состояние кардио-респираторной системы, работоспособность при нагрузках разной направленности.
Для оценки подвижности в позвоночнике и суставах применяются различные тесты и пробы, позволяющие определить соответствие имеющейся амплитуды диапазону движений здорового человека.
Одним из самых распространенных является тест, в котором испытуемый наклоняется вперед и измеряется расстояние от 3-го пальца до уровня стоп, которое может быть как положительным, так и отрицательным. Однако этот тест не показывает, где именно наблюдается ограничение в случае неудовлетворительных результатов.
Поэтому для оценки подвижности позвоночника профессионалы дополнительно используют тесты, которые позволяют детализировать измерения, например, для оценки подвижности в поясничном отделе специалисты отмеряют вверх от пятого поясничного позвонка 10 см и делают отметку, затем просят испытуемого наклониться максимально вперед и снова замеряют данное расстояние. В норме оно должно увеличиться на 4-5 см.
Другим морфофункциональным свойством опорно-двигательного аппарата является стабильность позвоночника и суставов, которая представляет собой способность сохранять сегменты опорно-двигательного аппарата в их физиологическом положении в условиях внутренних и внешних воздействий.
Чтобы оценить, например, наличие или отсутствие навыка стабилизации поясничного отдела позвоночника, специалистами используются как экспресс-тесты, так и инструментальные методы.
Методы экспресс-оценки стабилизации позвоночника играют важную диагностическую роль, так как позволяют оценить снижение стабилизации в процессе двигательной деятельности человека (повседневной и спортивно-оздоровительной).
Для оценки состояния мышц-стабилизаторов позвоночника и таза достаточно посадить испытуемого на мяч в положение, при котором прямые руки согнуты в плечевых суставах под углом 90 градусов и расположены на уровне груди ладонями друг к другу на ширине плеч. Ноги согнуты в тазобедренных и коленных суставах под углом 90 градусов, стопы расположены на полу на расстоянии 5-10 см друг от друга. И попросить тестируемого закрыть глаза и поднять стопу одной ноги на высоту 5-10 см. Цель - постараться удержать равновесие на мяче с закрытыми глазами. Затем сменить опорную ногу и повторить тест.
Если тестируемый способен удерживать равновесие в течение 30 секунд и более в период подъема одной ноги, это свидетельствует о наличии стабилизации позвоночника и таза и отсутствии функциональной мышечной асимметрии.
Способность тестируемого удерживать равновесие в течение 5-30 секунд в период подъема свидетельствует о наличии удовлетворительной стабилизации позвоночника и таза и отсутствии функциональной мышечной асимметрии.
Отсутствие способности тестируемого удерживать равновесие более 5 секунд в период подъема правой или левой ноги свидетельствует об отсутствии стабилизации позвоночника и таза.
Наличие разницы в продолжительности удерживания равновесия в период подъема одной ноги между правой и левой опорной ногой свидетельствует о наличии функционального дисбаланса между мышцами правой и левой половины тела.
Для оценки силовых способностей человека используются тесты, при которых мышца проявляет ту или иную силовую способность до заданной величины при максимально возможном изолировании от других мышц, что обеспечивается определенным исходным положением, траекторией и скоростью движения. Для каждого вида силовых способностей используются свои методики и пробы.
Для оценки максимальной произвольной силы традиционно используется прямое определение, в процессе которого испытуемый преодолевает противодействие, по величине равное 100% от максимально возможного (т.е. такое, при котором возможно выполнить движение только 1 раз). Однако выполнение этой пробы требует определенных условий, не всегда обеспечиваемых в фитнесе: высокой степени готовности к силовым нагрузкам; отсутствия противопоказаний по состоянию здоровья; движение должно носить региональный или глобальный характер; проба выполняется не чаще 1 раза в месяц. Поэтому если тренер предлагает оценить ваши силовые возможности таким образом, а перечисленные условия отсутствуют, бегите от него как можно дальше. В противном случае шансы получить постоянное членство в больнице резко возрастают.
При невозможности выполнения данных условий используются непрямые или короткоамплитудные способы.
В первом варианте используется методика, основанная на определении так называемого одного повторного максимума (1ПМ) с помощью математических расчетов, например:

где 1RM – одноповторный максимум (1ПМ), r – максимальное количество повторений, а w – величина сопротивления, например, вес отягощения.
Между тем стоит заметить, что обе формулы дают схожие результаты только при определенном количестве повторений, а при других объемах выполнения упражнений уже существуют расхождения, что ставит под сомнение достоверность данных методов.
Тем не менее, такой подход может успешно использоваться для оценки динамики эффективности занятий. Так, например, в методике, предложенной Fleck S. J. и Kraemer W. J. (1998), используется величина противодействия в диапазоне 70-80% от 1ПМ. Испытуемый выполняет максимальное количество повторений (8-12 раз) до выбранного состояния – легкого утомления, явного утомления, появления жжения, отказа. Показатели величины сопротивления и количества выполненных движений фиксируются и сравниваются с показателями через 4-8 недель. Динамику оценивают по приросту величины противодействия при постоянном количестве повторений. Т.е. если определено, что при выполнении упражнения на тренажере «Сгибание в локтевом суставе» при величине противодействия в 25 кг испытуемый выполнил 9 раз, а спустя 8 недель выполнил то же количество повторений, но уже с величиной противодействия 35 кг, то улучшение силовых способностей мышц-сгибателей предплечья составило 40% (10/25=0,4).
Короткоамплитудные методики представляют собой тесты, в которых испытуемый пытается преодолеть противодействие, выполняя движение с минимальной амплитудой. Классический пример – оценка силы мышц-сгибателей пальцев руки с помощью динамометра. Однако для оценки силовых способностей мышц, производящих движения в других суставах, используются другие методики, которые позволяют получить информацию, более применимую в практике.
Безусловно, наряду со всеми вышеперечисленными способами оценки максимальной произвольной силы существуют более точные, но и более дорогостоящие методики на основе использования компьютерных технологий.
Для оценки динамики силовой выносливости можно использовать методику, также предложенную Fleck S. J. и Kraemer W. J., для чего оценивают увеличение количества повторений с одной и той же величиной сопротивления. Так, если определено, что при выполнении упражнения на тренажере «Сгибание в локтевом суставе» при величине противодействия в 20 кг испытуемый выполнил 9 раз, а спустя 8 недель - 12 раз, то улучшение силовых способностей мышц-сгибателей предплечья составило 33% (3/9=0,33).
Для оценки статической силовой выносливости используют тесты, в которых испытуемый находится в заданном положении максимальное количество времени. Так, для оценки силовой выносливости мышц-сгибателей позвоночника можно использовать модифицированный канадский тест, в котором испытуемый лежит на спине, расположив ладони на полу. По команде он поднимает верхнюю часть тела, не отрывая поясницу. Фиксируется время удержания положения до появления тремора, появления жжения, смещения ладони с контрольной линии.
Важным показателем состояния мышечной системы также является тонус мышц, который представляет собой умеренное мышечное напряжение в состоянии покоя и отражает состояние всего нервно-мышечного аппарата.
Оценка мышечного тонуса играет важную роль в ситуациях, когда в силу определенных причин невозможно использование перечисленных методик для оценки состояния нервно-мышечного аппарата. Она особенно актуальна в диагностике функциональной мышечной асимметрии, возникающей вследствие наличия каких-либо нарушений или патологий.
Как и в предыдущих видах диагностики, в оценке тонуса существуют более простые и доступные методы, такие как пальпаторный, или с помощью механического миотонусометра, которые, однако, требуют высокой квалификации специалиста, проводящего измерение.
В качестве альтернативы существуют более точные и информативные методы - такие, как компьютерные версии миотонусометров.
Автор: Эрденко Д.В., к.п.н., преподаватель Российского государственного университета физической культуры, спорт и туризма (г. Москва), руководитель научно-информационного портала о реабилитации, фитнесе и спорте «KINESIS FOR LIFE».
Методическое пособие «Анализ и обработка персональной информации при разработке индивидуальных тренировочных планов двигательной активности в фитнесе». >>>
|
Оставить комментарий
|
2 августа 2010, 8:00 7503 просмотра |
Единый профиль
МедиаФорт
Разделы библиотеки
Мода и красота
Психология
Магия и астрология
Специальные разделы:
Семья и здоровье
- Здоровье
- Интим
- Беременность, роды, воспитание детей
- Аэробика дома
- Фитнес
- Фитнес в офисе
- Диеты. Худеем вместе.
- Йога
- Каталог асан














